Skip to content Skip to sidebar Skip to footer

Widget HTML #1

How To Add Rational Expressions With Unlike Denominators - How do you subtract a rational number?

How To Add Rational Expressions With Unlike Denominators - How do you subtract a rational number?. Pause the video and try to add these two rational expressions okay i'm assuming you've had a go at it now we can work through this together so the first thing that you might have hit when you try to do it is you realize that they have different denominators and it's hard to add fractions when they have different denominators you need to rewrite them so that you have a common denominator and. Match factors vertically when possible. It explains how to get the common denominator in. How do you subtract a rational number? Determine if the expressions have a common denominator.

How do you subtract a rational number? How to add rational expressions? Write each expression using the lcd. Determine if the expressions have a common denominator. Find the least common denominator of rational expressions.

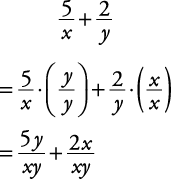
P20 7 3 Adding And Subtracting Rational Expressions With Monomial Denominators Math Showme
P20 7 3 Adding And Subtracting Rational Expressions With Monomial Denominators Math Showme from showme0-9071.kxcdn.com
It explains how to get the common denominator in. List the factors of each expression. To add or subtract rational expressions with unlike denominators, first find the lcm of the denominator. Find the least common denominator of rational expressions. The lcm of the denominators of fraction or. How do you subtract a rational expression? How do you subtract a rational number? Add or subtract rational expressions.

Pause the video and try to add these two rational expressions okay i'm assuming you've had a go at it now we can work through this together so the first thing that you might have hit when you try to do it is you realize that they have different denominators and it's hard to add fractions when they have different denominators you need to rewrite them so that you have a common denominator and.

It explains how to get the common denominator in. How do you subtract a rational expression? The lcm of the denominators of fraction or. Simplify only after you have combined the numerators. How do you subtract a rational number? Determine if the expressions have a common denominator. To add or subtract rational expressions with unlike denominators, first find the lcm of the denominator. Write each expression using the lcd. This algebra video tutorial explains how to add and subtract rational expressions with unlike denominators. List the factors of each expression. Adding and subtracting rational expressions with unlike denominators. This video explains how to add or subtraction rational expressions with unlike denominators and then simplify the result. Khan academy is a 501(c)(3) nonprofit organization.

How to add rational expressions? Make sure each term has the lcd as its. Adding and subtracting rational expressions with unlike denominators. This algebra video tutorial explains how to add and subtract rational expressions with unlike denominators. Khan academy is a 501(c)(3) nonprofit organization.

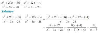
Add And Subtract Rational Expressions With Unlike Denominators Elementary Algebra
Add And Subtract Rational Expressions With Unlike Denominators Elementary Algebra from opentextbc.ca
To add or subtract rational expressions with unlike denominators, first find the lcm of the denominator. How do you subtract a rational expression? This algebra video tutorial explains how to add and subtract rational expressions with unlike denominators. Adding and subtracting rational expressions with unlike denominators. Add or subtract rational expressions. Pause the video and try to add these two rational expressions okay i'm assuming you've had a go at it now we can work through this together so the first thing that you might have hit when you try to do it is you realize that they have different denominators and it's hard to add fractions when they have different denominators you need to rewrite them so that you have a common denominator and. In the example above, we must leave the first rational expression as 2a(2a − b) b(2a + b)(2a − b) 2 a ( 2 a − b) b ( 2 a + b) ( 2 a − b) to be able to add it to 3a ⋅ b (2a + b)(2a − b)⋅ b 3 a · b ( 2 a + b) ( 2 a − b) · b. Write each expression using the lcd.

The lcm of the denominators of fraction or.

Add or subtract rational expressions. Khan academy is a 501(c)(3) nonprofit organization. The lcm of the denominators of fraction or. Determine if the expressions have a common denominator. In the example above, we must leave the first rational expression as 2a(2a − b) b(2a + b)(2a − b) 2 a ( 2 a − b) b ( 2 a + b) ( 2 a − b) to be able to add it to 3a ⋅ b (2a + b)(2a − b)⋅ b 3 a · b ( 2 a + b) ( 2 a − b) · b. Write each expression using the lcd. Simplify only after you have combined the numerators. How do you subtract a rational expression? Match factors vertically when possible. Pause the video and try to add these two rational expressions okay i'm assuming you've had a go at it now we can work through this together so the first thing that you might have hit when you try to do it is you realize that they have different denominators and it's hard to add fractions when they have different denominators you need to rewrite them so that you have a common denominator and. How to add rational expressions? This video explains how to add or subtraction rational expressions with unlike denominators and then simplify the result. To add or subtract rational expressions with unlike denominators, first find the lcm of the denominator.

Write each expression using the lcd. Pause the video and try to add these two rational expressions okay i'm assuming you've had a go at it now we can work through this together so the first thing that you might have hit when you try to do it is you realize that they have different denominators and it's hard to add fractions when they have different denominators you need to rewrite them so that you have a common denominator and. How do you subtract a rational number? Add or subtract rational expressions. Match factors vertically when possible.

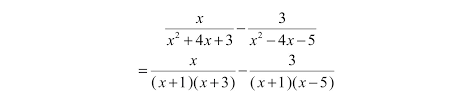
Adding Subtracting Rational Expressions W Unlike Denominators Task Cards
Adding Subtracting Rational Expressions W Unlike Denominators Task Cards from ecdn.teacherspayteachers.com
Add or subtract rational expressions. List the factors of each expression. Pause the video and try to add these two rational expressions okay i'm assuming you've had a go at it now we can work through this together so the first thing that you might have hit when you try to do it is you realize that they have different denominators and it's hard to add fractions when they have different denominators you need to rewrite them so that you have a common denominator and. Write each expression using the lcd. Match factors vertically when possible. This video explains how to add or subtraction rational expressions with unlike denominators and then simplify the result. Determine if the expressions have a common denominator. How do you subtract a rational expression?

Write each expression using the lcd.

How to add rational expressions? This algebra video tutorial explains how to add and subtract rational expressions with unlike denominators. List the factors of each expression. Simplify only after you have combined the numerators. How do you subtract a rational number? How do you subtract a rational expression? Find the least common denominator of rational expressions. Write each expression using the lcd. It explains how to get the common denominator in. Khan academy is a 501(c)(3) nonprofit organization. This video explains how to add or subtraction rational expressions with unlike denominators and then simplify the result. Make sure each term has the lcd as its. To add or subtract rational expressions with unlike denominators, first find the lcm of the denominator.

Pause the video and try to add these two rational expressions okay i'm assuming you've had a go at it now we can work through this together so the first thing that you might have hit when you try to do it is you realize that they have different denominators and it's hard to add fractions when they have different denominators you need to rewrite them so that you have a common denominator and how to add rational expressions. Khan academy is a 501(c)(3) nonprofit organization.